1、技術背景
環氧丙烷(PO)是非常重要的有機化合物原料,是僅次于聚丙烯和丙烯腈的第三大丙烯類衍生物。苯乙烯(SM)是苯的重要工業衍生物之一,是重要的基本有機化工原料。
2、技術概述
本技術將采用催化精餾技術生產乙苯氫過氧化物(EBHP),然后將丙烯環氧化生產環氧丙烷,將副產物氫化脫水后得到苯乙烯。
3、工藝原理
(1)乙苯過氧化
.png)
(2)丙烯環氧化
.png)
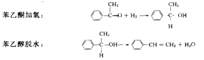
(3)氫化、脫水制苯乙烯
4、工藝流程
5、技術優點
采用塔式過氧化反應器,反應溫度低,選擇性高,反應溫度在爆炸極限外。反應蒸餾塔對反應溫度的控制力強。